בטון: קביעת חוזקו
[המאמר פורסם בביטאון לשכת המהנדסים והאדריכלים (אז: אגודת האינג'ינרים והארכיטקטים בישראל - אאא"י) כרך מ"ב חוברת מס' 5 מאוגוסט 1982].
הצגת הבעיה
כאשר מוקם מבנה המצריך התחשבות בטיחותית בחוזק הבטון, קיימת הבעיה של השגת בטון טוב שישביע את דרישות החוזק של המבנה מחד, ושל הכנת בטון לא "יותר מידי טוב" שלא לצורך. כמו- כן, קיימת בעיית ההחלטה לאחר היציקה ולאחר קבלת תוצאות בדיקות הבטון, באם הבטון משביע רצון.
לולא ההתחשבות בבטיחות המבנה, היינו נגררים להכנת בטונים ירודים בעלי חוזק נמוך. לולא ההתחשבות בגורם הכלכלי, היינו נגררים להכנת בטונים מעולים ביותר בעלי הרכב אחיד לכל המבנים, - הרכב שעשוי לתת בטון בעל חוזק מקסימלי, ללא תלות בדרישות החישובים הסטטיים.
במציאות עלינו לחפש את הדרך להכנת בטון חלש, שעדיין מספיק חזק כך שנוכל לקבוע בוודאות סבירה כי הוא מתאים ועונה על הדרישות. רצוי לקבוע שיטות סטטיסטיות בדוקות לגבי פסילת בטון או אישורו, על מנת שלא נפסול בטון "טוב" ולא נאשר בטון "גרוע". התשובות לשאלות צריכות להינתן כהצעת שיטה בת-שימוש למהנדסים, לפי שיקול דעתם, בהיותם הנושאים באחריות לביצוע המבנים, וזאת בהתאם לחוק המהנדסים והאדריכלים תשי"ח - 1958, ותקנות התכנון והבניה ( חישובים סטטיים ותכניות קונסטרוקציה ) תשכ"ח 1968. להבהיר, בכל מקרה האחריות מוטלת על כתפיו של המתכנן, ולא על מי שחוקק חוק, התקין תקנה או התקין תקן ישראלי.
בשלב מסוים של חישוב המבנה, יש לקבל החלטה בדבר החוזק הנדרש של הבטון. מן הדין שאותו מהנדס שמקבל החלטה זו, הוא יקבע אחר כך - ורק הוא אישית - האם יש לסווג את הבטון, על סמך תוצאות הבדיקות, כמשביע רצון או לא.
ליקויים במצב הקיים
בישראל ישנם תקנים לחוזק הבטון, וכן ישנן הוראות פנימיות של גופים שונים - הג"א, משרד השיכון, ועוד. במסגרת הוראות אלה מותר לגופים המוזכרים להוסיף על דרישות התקן אך לא לגרוע. בעבר, דרשו הרשויות המקומיות חוזק בטון מינימלי.
מזה שנים רבות יש התייחסות לדרישות המהנדס החתום על החישובים הסטטיים של הבניין, אולם, קבלת ההחלטה, האם הבטון עומד בדרישות התכנון, כפי שנקבעו ע"י המהנדס אינה בידי אותו מהנדס אחראי, אלא מתקבלת באופן אוטומטי על ידי תוצאות הבדיקה של חוזק קוביות הבטון או גלילי הבטון, על סמך התקנים הישראליים המתאימים.
אין להתחשב בממוצע האריתמטי כערך המראה מהו חוזק הבטון, ולו גם בקשר עם תנאי הבקרה לפי סיווגם: "נחותים", "בינוניים", ו"טובים".
חוזק הבטון הוא משתנה רציף אינסופי.
אנו לוקחים מדגם בגדול מסוים, ובודקים את חוזק הבטון של המדגם. רק אם ניקח מדגם אינסופי, כגודל האוכלוסייה האינסופית, נוכל לומר כי אכן החוזק הממוצע של המדגם הוא כחוזק הממוצע של האוכלוסייה, בכל מקרה אחר - אין הדבר כך.
לשאלה בדבר החוזק הממוצע של בטון ממנו נלקח מדגם של 3 קוביות בטון, שתוצאותיו הן: X1, X2,X3 והממוצע שלו הוא:
x̅ = [X1 + X2 + X3]:3
אין תשובה חד משמעית, אלא תשובה מסוג זה:
"ישנה הסתברות %P שהחוזק הממוצע של הבטון הוא ≥ Y", כאשר לגבי כל הסתברות Pi ישנו ערך מתאים של Yi.
דהיינו, ישנן אין סוף תשובות, ולהלן 3 תשובות טריביאליות:
א) ישנה הסתברות של 50% שממוצע חוזק הבטון עולה על x̅.
(וכמובן, אותה הסתברות - 50% - שממוצע חוזק הבטון קטן מ- x̅).
ב) ישנה הסתברות ∞ כי ממוצע חוזק הבטון גדול מאפס.
ג) ישנה הסתברות אפס כי חוזק הבטון אינסופי.
אם המתכנן דורש לדעת, מהי ההסתברות שהבטון, אשר מדגם מתוכו נבדק, עונה על דרישותיו, או - במילים אחרות, מהו ממוצע חוזק הבטון בהסתברות של P%, מוצע מבחן השערה סטטיסטי כפי שיוסבר בהמשך.
ברור, אם כן, כי דרישת חוזק ממוצע כקריטריון להערכת חוזק הבטון, אינה מספקת. ואמנם בתקנים הישראליים המתייחסים לנושא ישנה דרישה נוספת שהפיזור בחוזק הבטון לא יעלה על ערך מסוים לגבי כל אחד מסוגי הבקרה: בקרה טובה, בקרה בינונית ובקרה נחותה.
הצורך ביצירת תלות בין החוזק של הבטון לבין מספר הדגימות הועלה בעבר (סורוקה 1969[4]) ואף נתקבל. אולם, כל עוד אין רצף בתלות, אלא דרישות גבוליות בלבד, אין הבעיה פתורה באופן נכון. בנוסף, הקביעות וקבלת ההחלטות בדבר סיכון הצרכן (הסיכוי לאשר ולקבל בטון נחות) וסיכון היצרן (הסיכוי לפסול ולדחות בטון טוב) הם 'מחוץ לתחום' לגבי המהנדס האחראי על שלד המבנה, לפי הצעת סורוקה ולפי התקנים בנדון, וסיכונים אלה - במקום שיהיו משתנים - הם... קבועים, דבר שמשולל כל היגיון.
מאחר ובמציאות מתקבלים פיזורים שונים בבדיקות קוביות הבטון ללחיצה, ומאחר וברוב המקרים, אין אנו יכולים להחליט מהן כל סיבות הפיזור, ומהי ההשפעה היחסית של כל גורם המשפיע על הפיזור, (סוג הבקרה, הדיוק המעבדתי, או גורמים בלתי צפויים או בלתי ידועים), הרי חייבים אנו להסיק על הפיזור לא ע"י הנחות יסוד (המתאימות, אולי, למקרה "שגרתי - ממוצע") אלא על סמך תוצאות בדיקות קוביות הבטון עצמן.
לדוגמא: במקרה של תערובת בטון המתבצעת בתנאי בקרה טובים, ולמרות זאת מתקבל פיזור רב - הרי ההיגיון ההנדסי מחייב לא להתחשב ב"בקרה הטובה" ולא להחליט על ערך גבוה יחסית של החוזק הממוצע של בדיקות הקוביות - כי למעשה במקרה זה הבקרה הטובה - אינה טובה, וקיימת חובה חישובית שהפיזור הגדול יבוא לידי ביטוי, וישפיע על התוצאות.
במילים אחרות: היחס בין החוזק הממוצע של קוביות הבטון לבין החוזק הנומינלי (חוזק הבטון לתכנון) צריך להינתן מתוך חישובים סטטיסטיים כתלות בפיזור תוצאות הבדיקה, ולא כתלות בתנאי הבקרה.(רק במקרה התיאורטי של התאמה בין הפיזור המדגמי לבין סוג הבקרה - אפשר לקבל את המלצות סורוקה, שכבר התקבלו בת"י).
הצעה לפיתרון, ודוגמאות חישוב
ההצעה היא:
הנחות יסוד
א) חוזק הבטון מפולג פילוג "t".
ב) את הפיזור בחוזק הבטון ניתן למדוד באמצעות סטית התקן המדגמית "s", התלויה בגודל המדגם ובהפרש שבין ממוצע הבדיקות לבין כל אחת מתוצאות הבדיקות.
פילוג "t" נקרא גם: "The Sudent's Distribution" ומתאים עבור מדגמים קטנים (30>n) ע"פ: "Small Sampling Theory".
לגבי מדגמים כנ"ל, ההערכה של התקרבות גודל המדגם לאינסוף היא אינה מספיק טובה, ואי אפשר לאמץ את הנוסחאות המקורבות אשר בהן יש הזנחות עקב ∞ → n (גודל המדגם).
בספרות מכונה שיטה זו גם: "Exact Sampling Theory".
להלן דוגמא של מבחן השערה לוודאות בת 95%:
נניח שכתנאי מוקדם, יש דרישה ש-95% מהבטון יעלה בחוזקו על החוזק הנומינלי (p=0.95).
(ההגבלה היא בכיוון אחד - אסור שיותר מ-5% מהבטון יהיה מתחת ל- μοאולם אין כל הגבלה לגבי אחוז הבטון שצריך להיות חזק מהערך של μο).
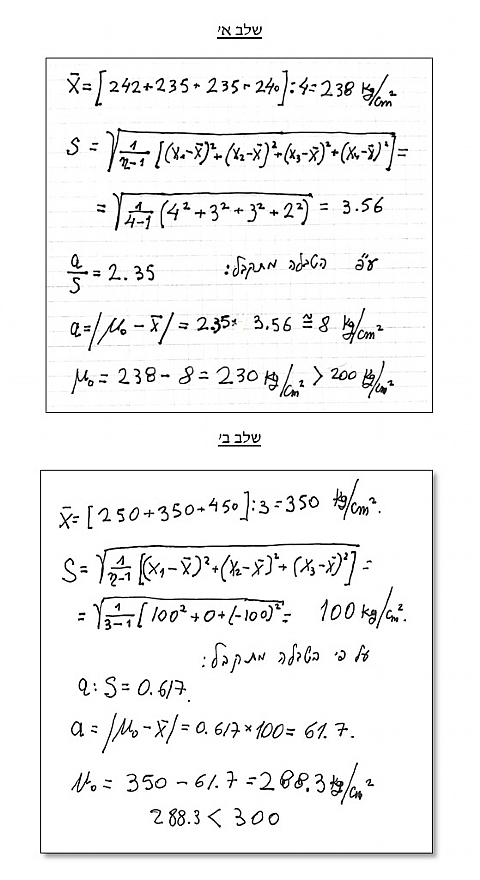
נדרש להכין בטון בעל חוזק 200 ק"ג/סמ"ר. נבדקו 4 קוביות בטון בלחיצה ולהלן תוצאות הבדיקה:
240, 235, 235, 242 ק"ג/סמ"ר.
בהנחה כי בטון טוב הוא כזה אשר 95% מנו מעל חוזק 200 ק"ג סמ"ר, ובטון גרוע הוא אשר יותר מ-5% ממנו מתחת לחוזק הנדרש הנ"ל, האם יש לקבל את היציקה - או לדחותה?
פתרון:
ללא תלות בתנאי הבקרה, נחשב את הסטייה המדגמית S (ערך אקוויוולנטי לסטיית התקן δ במקרה של פילוג נורמלי). ראה תמונה מס 1 (שלב א).
מסקנה: הבטון טוב.
מבחן השערה לוודאות רצונית:
לגבי אחוז כלשהו של בטון ירוד, α , מתקיימת הנוסחה:
t1- α (n-1)(μο- x̅)/S=
t1- α(n-1)α/s =
=/ μο - x̅ /
α
ראה להלן הטבלה, אשר בה יינתן הערך של α:s כפונקציה של 1 מינוס α ושל n.
דוגמא:
בהנחה כי בטון טוב הוא בטון אשר 70% ממנו מעל חוזק של 300 ק"ג/סמ"ר, יש לקבוע אם בטון הנותן תוצאות בדיקת קוביות בטון כדלקמן, הוא אכן טוב.
250, 350, 450 ק"ג/סמ"ר.
פתרון:ראה תמונה מס 1 (שלב ב).
מסקנה: הבטון גרוע ואין לקבלו.
בדוגמא הנ"ל מסתבר שלמרות שהממוצע הוא 350 - וגבוה בשיעור של 16.67% מהערך הדרוש (300) - ולמרות שבחנו את הנושא באופן ליברלי ביותר (וודאות 70%), איננו יכולים לקבל את הבטון כבטון טוב, וזאת מחמת הפיזור הרב ומספר הבדיקות הקטן.
סיכום
לפרויקטים מסוימים ולאלמנטים קונסטרוקטיביים מסוימים, מתאימים קריטריונים שונים של רמת וודאות בדבר חוזק הבטון, והכללה בנדון - כפי שקיימת בתקנים ובספרות - מעלימה מן המהנדס האחראי כלים חיוניים לקבלת החלטות.
על-כן, מומלץ לעבור לשיטה "סטטיסטית טהורה" בקביעת חוזק הבטון, כדי להגיע לקביעה יותר מהימנה של תוצאות, ותוך כדי "הישענות" בעיניים פקוחות על אחריותו של המהנדס המתכנן. בנוסף, השיטה המוצעת מדויקת יותר מהנוהגים הקיימים, שבה התלות בין המשתנים היא תלות רציפה כפי שהדבר במציאות, ואינה קשוחה או מדורגת (כדוגמת ת"י 118 לגבי תנאי בקרה - 3 סוגים בלבד, במקום רציפות הפיזור של תוצאות הדגימות, ללא גבול).
מראי מקום נוספים:
1) Theory and Problems of Statistics - M.T. SPIEGEL, Schoum's Author series.
2) Statistical Tables for Biological, Agricultural and Medical Research (5th ed.) - R.A. Fisher and F. Yates; Table III, Oliver and Boyd Ltd.
3) ת"י 118.
4) ד"ר יצחק סורוקה, "הערכה ביקורתית והצעה לרביזיה של ת"י 118 - חוזק הבטון", הנדסה ואדריכלות מס' 1 - 1969.

