סוגיות בקביעת חוזק חיפויי האבן
בבדיקת התאמת חיפויי האבן הטבעית להוראות התקנים, מושם דגש על ממוצע המדגם ועל סף גבולי, מבלי שתהיה התייחסות לסטיית התקן (מידת הפיזור).
דא עקא, שהכשלים בחיפויי האבן שהתגלמותם היא בנשירת אבני חיפוי מהקירות – דבר שעלול להסתיים בפגיעה באנשים ובאסונות, והיו דברים מעולם - אינם קורים באזור הממוצע, אלא דווקא באזורי השוליים הכי רחוקים מן הממוצע.
מבוא
שיעורו של הערך הממוצע משפיע על הערכים הקריטיים ביותר, אלה המהווים מוקד לכשלים, כפי שאפשר לראות בשרטוט שלהלן:
אם גרף א' מתאר בשרטוט מס 1' את הבדיקות של מדגם בעל ממוצע A1 וגרף ב' מתאר את מדגם מס 2' בו הממוצע A2, וידוע כי:
A1 < A2
מתבקש שיתקיים:
δ 1 > δ 2
האות δ מסמנת את האחוז באוכלוסיה (במציאות) שאינו עומד בדרישות. שיעור הפיזור של המדגם משפיע אף הוא , ויותר, על הבחינה, באופן שככל שהפיזור גדול יותר, כמות "הפסולים" מתוך האוכלוסיה נמצאת בשיעור גבוה יותר. רואים זאת באופן גראפי בשרטוט מס' 2.
התקינה ואופן יישום בדיקות
התקינה הישראלית נועדה לבטל ככל שאפשר כשלים, כאשר כשל יוגדר כנשירת אבן – חיפוי מן הקיר.
התקנים החלים על חיפויי אבן טבעית* הם: מפמ"כ 378 וסדרת התקנים הישראליים 2378 – חלקים 1 עד 5 אשר בחלקם כבר נוסחו ואושרו ובחלקם בשלבי עריכה.
ראשית דבר יובהר כי נטילת מדגם נעשית בדרך כלל באופן אקראי, ולא מכוונת אל האזורים המועדים לפורענות; בבדיקת התאמה לתקן, יש עדיפות ל"אובייקטיביות הבדיקה , " ואילו במציאות – מה שכשל אלו אבני החיפוי המסוימות, בגלל מיקומן, כיוונן, ביצוען וכיוצא בזה.
הנטייה של מחברי התקנים לאובייקטיביות הבדיקה – זנחה קליעה אל עיקר הבעיה.
דוגמא מן המציאות
בבניין מגורים רב קומות קרוב לשפת הים בחדרה, המחופה אבן טבעית, נפגעו בעיקר אבני החיפוי בחזית מערב הפונה אל הים. הסיבה לכך היא – נזקי מזג אויר, ועיקר הפגיעה היא בווים המחברים את האבן אל הרשת (המחוברת בעוגנים אל הקיר). התופעה שהיא בבחינת נורה אדומה – כתמים כהים, 2-3 לאבן ברוב אבני החיפוי, בצורת עיגול בקוטר ס"מ ספורים, במיקומים על פני האבן לפי מיקומי הווים.
הבדיקה שנדרשה היא בדיקת אותם ווים ובדיקת הרשת, מכמה בחינות. בדיקה זו נעשית ע"י הוצאת האבן ממשטח החיפוי ובחינת האביזרים, בין באמצעים חזותיים וביצוע מדידות פשוטות ובין במעבדה.
ברור וגלוי כי מדובר בשיטה אחידה של ביצוע חיפוי האבן בבניין הנדון, אולם בדיקה אקראית – שתכלול במדגם אבנים שאין בהן סימנים – עלולה לכלול בחלק מהמדגם אבני חיפוי שבהן הנגע טרם פשה, ואולי אף לגרום להסקת מסקנות מוטות. מתוך ידיעה כי הבעיה מתמקדת בחזית המערבית, ובאבנים המוכתמות, עדיף לבחור את המדגם הנבדק מתוך אוכלוסיית האבנים שבהן כבר ניכר פגם שהוא ברור גם במבחן התוצאה, ויש הבדל בין שתי אפשרויות הבדיקה: ההבדל מומחש בטבלה כדלקמן.
| הנושא הנבדק | בדיקה אקראית | בדיקה מושכלת | 
| צלע רשת החיפוי | נבדק ביחס לתקן | לא צפוי הבדל | 
| מיקום הווים | נבדק ביחס לתקן | לא צפוי הבדל | 
| חוזק הידבקות | נבדק ביחס לתקן מקביל (1555.3) | צפויים ערכים נמוכים בבדיקה מושכלת | 
באיזו תוצאת בדיקות מעוניין הבודק כדי להחליט החלטה אופרטיבית? דומה שהתשובה ברורה: ההתמקדות צריכה להיות באריחים המטים לפל, ועל פי תוצאות בדיקתם –תוחלט החלטה החלה על כלל האריחים שבבניין אשר בוצעו באותה שיטה ובאותם תנאים, ואשר בחלק שלא נבדק – טרם ניכר מבחן התוצאה.
יש ללמוד זאת מהחלטת בית המשפט העליון (השופט תיאודור אור) ברע"א 3541/93 נמליט בע"מ נ' רסקו בע"מ ואח', שם דן בית המשפט בליקויי ריצוף.
בית המשפט החליט על החלפה מלאה של האריחים בדירות הדיירים, אף שלעת בדיקת האריחים – הפגמים התמקדו בחלק מסוים בדירות, אותו חלק שבו השימוש יותר אינטנסיבי. השופט הבהיר כי הריצוף בוצע מאותו חומר גלם, ומכאן החלטתו. שמא ייאמר כי בחזית מערבית ראוי להקפיד יותר על יישום חיפוי האבן מאשר בחזית מזרחית, וזאת עקב כיוונה אל הים?
תשובה לכך מצויה בע"א 86/86 אחד העם שפירא בע"מ נ' לשם אריה ורבקה, בית המשפט המחוזי בחיפה, פס"מ תשמ" 1(ח ) מעמ 3' , שופטים מ: ' סלוצקי ' י, מרגלית ' ח, אריאל, להלן ציטוט סעיף 8 ב הדן בביצוע מקצועי ותקין של פריט בבניין ללא שום התחשבות בכיוון החזית :
"ב. באשר לטענת ב"כ המוכרת בקשר לקביעת המהנדס בן-עזרא בסעיף 14 לחוות דעתו ת/1, הרי שאין מחלוקת בין המהנדסים שמסגרת התריס הורכבה על טיח מותז (שפריץ). המחלוקת ביניהם נסבה בשאלה אם צורת הרכבה שכזו גורמת לחדירת מים ואויר אם לאו, בעוד שהמהנדס בן-עזרא חווה דעתו לחיוב שלל שמיתו, המהנדס טיגרמן את חדירת המים ומסביר בעדותו – ע' 14 המודפס – כי "מזרח זה לא כוון הגשם" ולכן אין חדירת מים ואין אף סימנים לחדירה שכזו. דעתו של המהנדס בן-עזרא היא – ע 9' המודפס – כי אז אין קשר בין כיוון המרפסת לחדירת או אי חדירת מים לעניין הבצוע הנאות של עבודה זו.
המהנדס טיגרמן מתעלם בחוות דעתו נ/1 ובעדותו מקביעתו של המהנדס בן-עזרא כי בניה שכזו היא פגומה מעצם טיבה, ומחייבת את התיקון שהוצע על ידו, וזאת ללא קשר עם חדירת מים או אי חדירתם. גם תריס שאינו מחדיר מים צריך להיות בנוי כראוי.
מה גם שלא הובאה כל ראיה מטעם המוכרת לטענה כי מצד מזרח אין גשם.
אין לקבל השגתו זו של ב"כ המוכרת."
חישוב סטטיסטי
לצורך החישוב ייעשה שימוש בפילוג t, הטבלה הבאה:
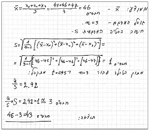
התכונה הנבדקת – חוזק האבן בלחיצה.
הדרישה בתקן 2378.1 היא 45 מגפ"ס. המדגם הנדרש לבדיקה – מדגם בן 3 יח', שייבדק בלחיצה אנכית, ומדגם נוסף בן 3 יח' שייבדק אופקית. תוצאות בדיקת מדגם ראשון (– ביח' מגפ"ס –) 45, 46, 47. תוצאות בדיקת מדגם שני – 45, 55, 65.
מדגם ראשון:
החוזק לכפיפה יוצא, איפוא, 43 מגפ"ס.
מדגם שני:
החוזק לכפיפה יוצא, איפוא, 26 מגפ"ס.
השוואה בין שני המדגמים:
| השוואה בין שני המדגמים | מדגם ראשון | מדגם שני | 
| ממוצע | 46 | 55 | 
| סטיית התקן המדגמית | 1 | 10 | 
| חוזק ללחיצה (ברמת וודאות של 95%) | 43 | 26 | 
אנו רואים כי הפיזור משפיע יותר מאשר הממוצע.
הערה
אמנם התקנים דנים באבן טבעית, אך יש לשים לב להערה מס 3' שבתקן 2378.1 הקובעת לאמור:
"עד לפרסומם של החלקים האחרים בסדרת התקנים, חלות על מערכת הקיר הדרישות הרלוונטיות שבסעיפי מפרט מכון התקנים הישראלי מפמ"כ 378 שלא הוחלפו על ידי תקן זה (ראו פירוט הסעיפים שהוחלפו בעמוד השער של תקן זה), לרבות אחריות יצרן הדבק בחיפוי בשיטת ההדבקה."
ובבואנו למפמ"כ 378 – עינינו הרואות כי הוא חל גם על מוצרים מלאכותיים ועל שיטות מתועשות וטרומיות. משמע, המהנדס (המתכנן, ואחר כך – הבודק) חייב לתת את הדעת על כך, ולא לשלול מראש חלות התקן והמפרט על אבני חיפוי שבהגדרתן חורגות מ"אבן חיפוי טבעית".
מסקנות
צריך לזכור תמיד כי בעניין בדיקת חיפויי אבן, וכן בנושאי תקינה רבים אחרים, מטרת הבדיקה אינה רק עמידה על טיב המוצר ואיכות הביצוע, אלא מטרת הבדיקה היא גם מניעה או התראה על סיכוני כשל, ולכן מושאי הבדיקה לא צריכים להתמקד סביב ערכים ממוצעים – אלא צריכים להתמקד באזורי סיכון. לא למותר לציין כי התקן הישראלי בנושא הנדון ובנושאים רבים אחרים – טעון שינוי ושיפור, כפי שהוכח בהשוואת שתי
הדוגמאות לעיל. 
מבחינת המבחן הסטטיסטי, הממוצע הוא רק אחד המרכיבים ולא החשוב והמשפיע ביותר; מידת הפיזור, המבוטאת בערכים של סטיית התקן המדגמית, משפיעה יותר.
כפועל יוצא מכך, דרישת ממוצע בבדיקה מדגמית בצירוף דרישת ערך מינימאל – י אינן מספיקות, דבר המובהר במאמר זה גם באמצעות השוואה של דוגמאות חישוב.
מראי מקום
1) מקור הטבלה הסטטיסטית -
Statistical tabkes for biologicl; agrichultural and 6 medical research [5th ed.]- R. A. Fisher and F. Yates, Table 3 Oliver and Boyd Ltd.
2) מפמ"כ 378.
3) ת"י 2378 חלקים 1, 2.
*) על פי ת"י 1278 חלק 1.

